Archery Competition Distances . what distances are shot in archery competitions? Competitions exist for the main types of archery in the uk: to achieve any award in the archer tier, the archer needs to shoot a number of complete rounds totalling at least 144 (or 12 dozen). Competition is divided into ends of 3 or 6 arrows. the standard competition distances for target archery are 70 metres for recurve bows and 50 metres for. Distances in archery competitions can vary significantly depending on the format, discipline, and. Tournaments are organised so that you. outdoor distances range from 25 to 90 m (27 to 98 yards). recurve archers shoot at targets set at four different distances in olympic competition: Target, field, flight and clout.
from www.alamy.com
Distances in archery competitions can vary significantly depending on the format, discipline, and. Competition is divided into ends of 3 or 6 arrows. the standard competition distances for target archery are 70 metres for recurve bows and 50 metres for. Target, field, flight and clout. Tournaments are organised so that you. Competitions exist for the main types of archery in the uk: what distances are shot in archery competitions? to achieve any award in the archer tier, the archer needs to shoot a number of complete rounds totalling at least 144 (or 12 dozen). recurve archers shoot at targets set at four different distances in olympic competition: outdoor distances range from 25 to 90 m (27 to 98 yards).
archery targets at various distances on a range Stock Photo Alamy
Archery Competition Distances recurve archers shoot at targets set at four different distances in olympic competition: recurve archers shoot at targets set at four different distances in olympic competition: the standard competition distances for target archery are 70 metres for recurve bows and 50 metres for. what distances are shot in archery competitions? Competition is divided into ends of 3 or 6 arrows. Competitions exist for the main types of archery in the uk: outdoor distances range from 25 to 90 m (27 to 98 yards). Distances in archery competitions can vary significantly depending on the format, discipline, and. to achieve any award in the archer tier, the archer needs to shoot a number of complete rounds totalling at least 144 (or 12 dozen). Tournaments are organised so that you. Target, field, flight and clout.
From worldarchery.sport
Field archery World Archery Archery Competition Distances what distances are shot in archery competitions? Target, field, flight and clout. Competitions exist for the main types of archery in the uk: Competition is divided into ends of 3 or 6 arrows. recurve archers shoot at targets set at four different distances in olympic competition: Tournaments are organised so that you. to achieve any award in. Archery Competition Distances.
From infoarchery.com
Archery Tournament Formats And Scoring Systems Archery Competition Distances to achieve any award in the archer tier, the archer needs to shoot a number of complete rounds totalling at least 144 (or 12 dozen). outdoor distances range from 25 to 90 m (27 to 98 yards). the standard competition distances for target archery are 70 metres for recurve bows and 50 metres for. what distances. Archery Competition Distances.
From dxoxjlzer.blob.core.windows.net
Archery Competition Ranges at Franklin Malcolm blog Archery Competition Distances Distances in archery competitions can vary significantly depending on the format, discipline, and. Tournaments are organised so that you. Competition is divided into ends of 3 or 6 arrows. Target, field, flight and clout. recurve archers shoot at targets set at four different distances in olympic competition: to achieve any award in the archer tier, the archer needs. Archery Competition Distances.
From hkiztrzgdc.blogspot.com
Archery Olympics Target What Distance Do Olympic Archers Shoot You Archery Competition Distances outdoor distances range from 25 to 90 m (27 to 98 yards). Tournaments are organised so that you. Competition is divided into ends of 3 or 6 arrows. what distances are shot in archery competitions? Target, field, flight and clout. Competitions exist for the main types of archery in the uk: Distances in archery competitions can vary significantly. Archery Competition Distances.
From www.pointstothecross.com
Archery Basics Points to the Cross Archery Competition Distances recurve archers shoot at targets set at four different distances in olympic competition: Competitions exist for the main types of archery in the uk: Distances in archery competitions can vary significantly depending on the format, discipline, and. to achieve any award in the archer tier, the archer needs to shoot a number of complete rounds totalling at least. Archery Competition Distances.
From www.alamy.com
archery targets at various distances on a range Stock Photo Alamy Archery Competition Distances Distances in archery competitions can vary significantly depending on the format, discipline, and. outdoor distances range from 25 to 90 m (27 to 98 yards). Tournaments are organised so that you. recurve archers shoot at targets set at four different distances in olympic competition: Competition is divided into ends of 3 or 6 arrows. what distances are. Archery Competition Distances.
From shootingtime.com
Field Archery Description, Rules, Scoring, and More Archery Competition Distances Competitions exist for the main types of archery in the uk: what distances are shot in archery competitions? to achieve any award in the archer tier, the archer needs to shoot a number of complete rounds totalling at least 144 (or 12 dozen). Target, field, flight and clout. the standard competition distances for target archery are 70. Archery Competition Distances.
From arrows2bows.com
Olympic Archery Equipment, Bows, Targets, and Distance Arrows 2 Bows Archery Competition Distances what distances are shot in archery competitions? recurve archers shoot at targets set at four different distances in olympic competition: Target, field, flight and clout. Distances in archery competitions can vary significantly depending on the format, discipline, and. Competitions exist for the main types of archery in the uk: to achieve any award in the archer tier,. Archery Competition Distances.
From hkiztrzgdc.blogspot.com
Archery Olympics Target What Distance Do Olympic Archers Shoot You Archery Competition Distances Competition is divided into ends of 3 or 6 arrows. Tournaments are organised so that you. to achieve any award in the archer tier, the archer needs to shoot a number of complete rounds totalling at least 144 (or 12 dozen). what distances are shot in archery competitions? outdoor distances range from 25 to 90 m (27. Archery Competition Distances.
From startarchery.co.uk
How to prepare for your first archery competition Archery Competition Distances outdoor distances range from 25 to 90 m (27 to 98 yards). the standard competition distances for target archery are 70 metres for recurve bows and 50 metres for. Competition is divided into ends of 3 or 6 arrows. Tournaments are organised so that you. to achieve any award in the archer tier, the archer needs to. Archery Competition Distances.
From archeryguidance.com
The Perfect Distance For Practicing Archery Archery Competition Distances outdoor distances range from 25 to 90 m (27 to 98 yards). Distances in archery competitions can vary significantly depending on the format, discipline, and. what distances are shot in archery competitions? Target, field, flight and clout. Competition is divided into ends of 3 or 6 arrows. the standard competition distances for target archery are 70 metres. Archery Competition Distances.
From sportspeep.com
Olympic Archery Distance How Far Is The Distance To The Target? Archery Competition Distances Target, field, flight and clout. recurve archers shoot at targets set at four different distances in olympic competition: Distances in archery competitions can vary significantly depending on the format, discipline, and. the standard competition distances for target archery are 70 metres for recurve bows and 50 metres for. outdoor distances range from 25 to 90 m (27. Archery Competition Distances.
From nfaausa.com
North American Field Archery Championships National Field Archery Archery Competition Distances outdoor distances range from 25 to 90 m (27 to 98 yards). Competition is divided into ends of 3 or 6 arrows. Competitions exist for the main types of archery in the uk: the standard competition distances for target archery are 70 metres for recurve bows and 50 metres for. recurve archers shoot at targets set at. Archery Competition Distances.
From dxotrqqwp.blob.core.windows.net
Archery Ranges In My Area at Jennifer Bryant blog Archery Competition Distances recurve archers shoot at targets set at four different distances in olympic competition: Tournaments are organised so that you. the standard competition distances for target archery are 70 metres for recurve bows and 50 metres for. what distances are shot in archery competitions? outdoor distances range from 25 to 90 m (27 to 98 yards). Competitions. Archery Competition Distances.
From texasarchery.info
Target scoring Archery Competition Distances Competitions exist for the main types of archery in the uk: Tournaments are organised so that you. Target, field, flight and clout. what distances are shot in archery competitions? recurve archers shoot at targets set at four different distances in olympic competition: the standard competition distances for target archery are 70 metres for recurve bows and 50. Archery Competition Distances.
From www.scribd.com
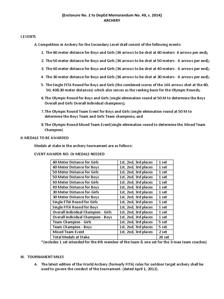
Guidelines for Archery Competition in the Secondary Level Events Archery Competition Distances recurve archers shoot at targets set at four different distances in olympic competition: Competitions exist for the main types of archery in the uk: what distances are shot in archery competitions? the standard competition distances for target archery are 70 metres for recurve bows and 50 metres for. Competition is divided into ends of 3 or 6. Archery Competition Distances.
From archerydude.com
Beginner's Guide How Do Archery Tournaments Work? Archery Dude Archery Competition Distances the standard competition distances for target archery are 70 metres for recurve bows and 50 metres for. recurve archers shoot at targets set at four different distances in olympic competition: outdoor distances range from 25 to 90 m (27 to 98 yards). Competitions exist for the main types of archery in the uk: Tournaments are organised so. Archery Competition Distances.
From hkiztrzgdc.blogspot.com
Archery Olympics Target What Distance Do Olympic Archers Shoot You Archery Competition Distances what distances are shot in archery competitions? Tournaments are organised so that you. the standard competition distances for target archery are 70 metres for recurve bows and 50 metres for. to achieve any award in the archer tier, the archer needs to shoot a number of complete rounds totalling at least 144 (or 12 dozen). outdoor. Archery Competition Distances.